中央人民政府
陕西省人民政府
汉中市人民政府
长者浏览
无障碍
网站支持IPv6
繁体
登录
退出
注册
首 页
县 情
新 闻
政府信息公开
互 动
服 务
专 题
首 页
城固县情
新闻中心
政府信息公开
公共服务
互动交流
专题专栏
当前位置:
首页 > 专题专栏 > 专题专栏 >
秦巴生态保护
当前位置:
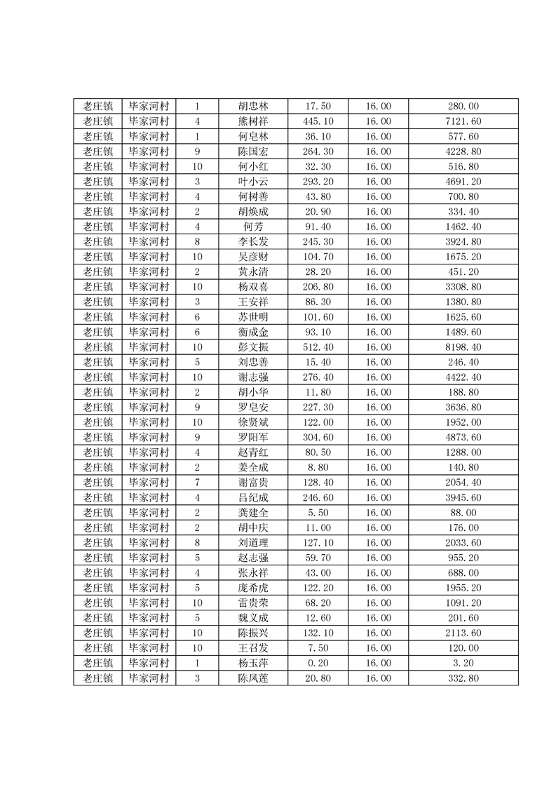
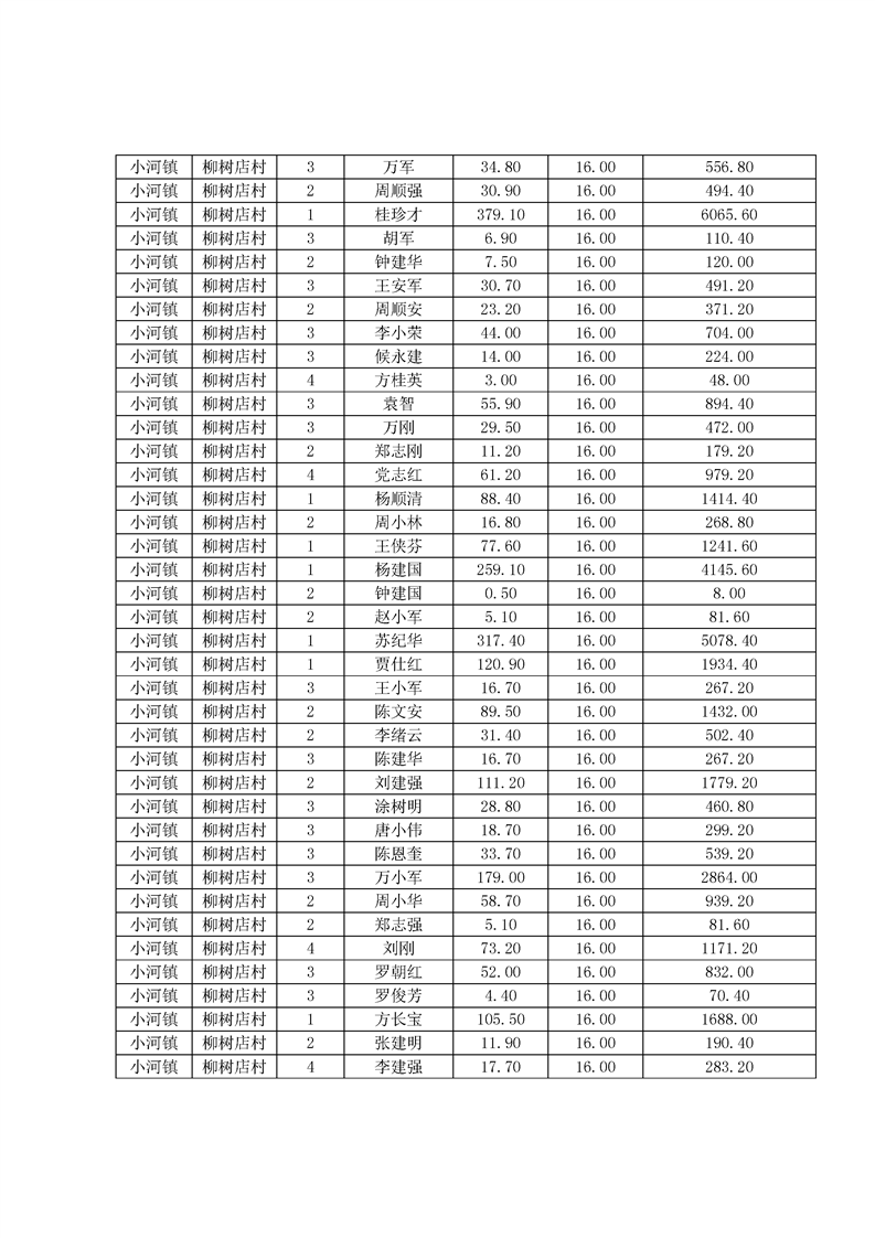
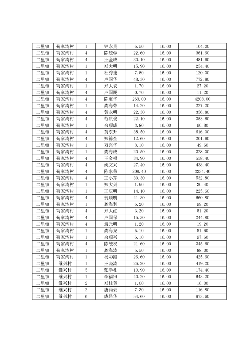
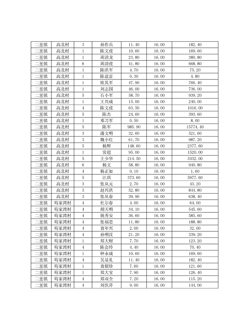
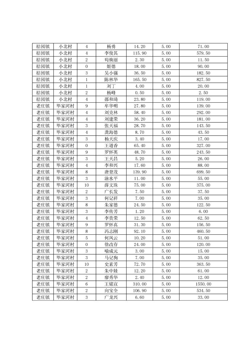
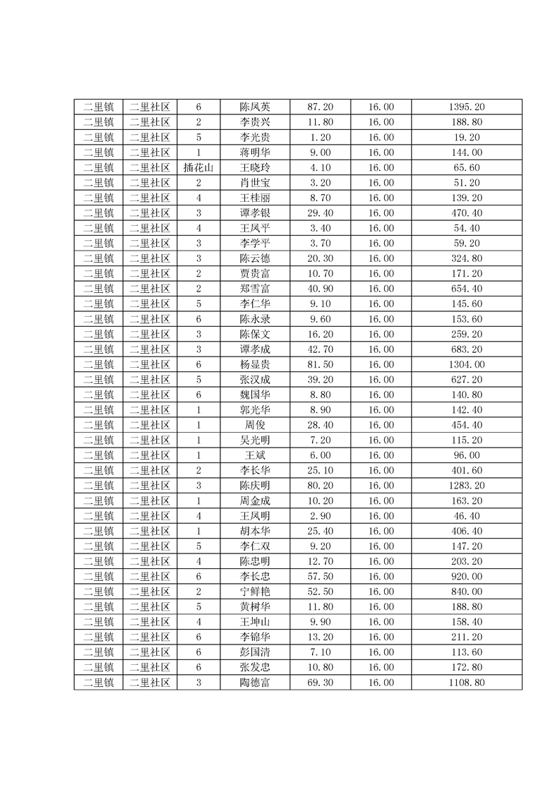
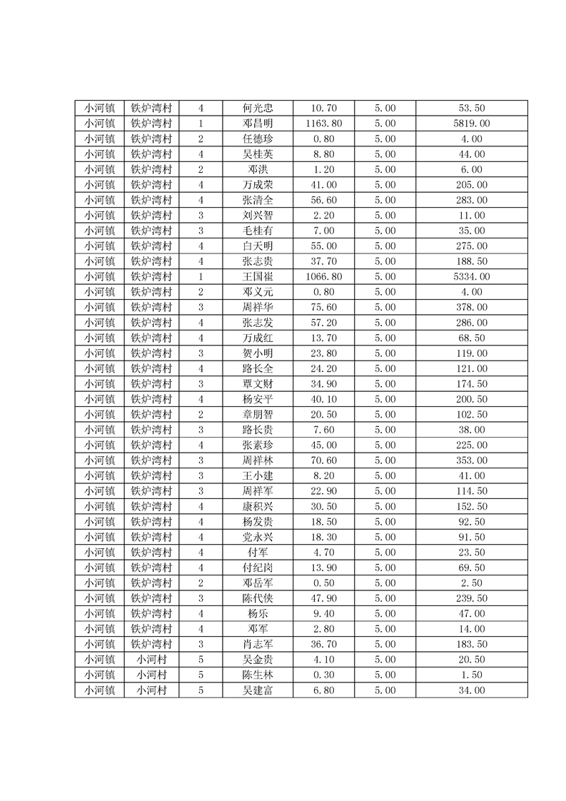
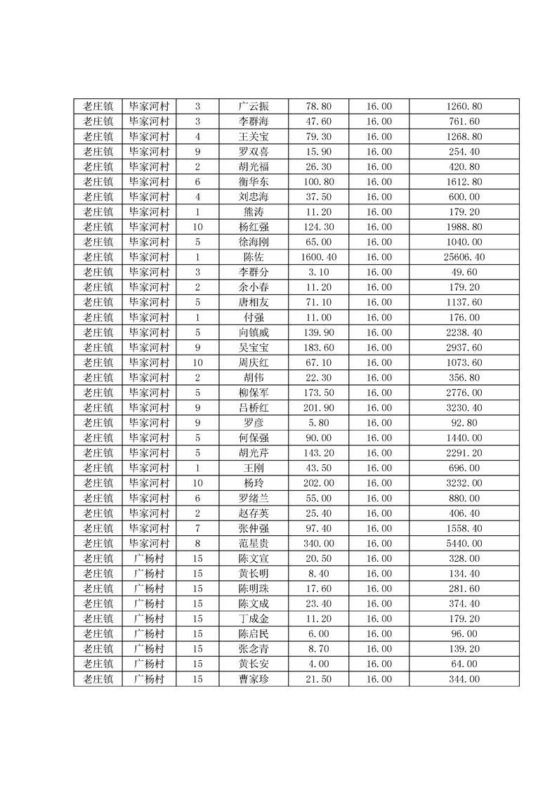
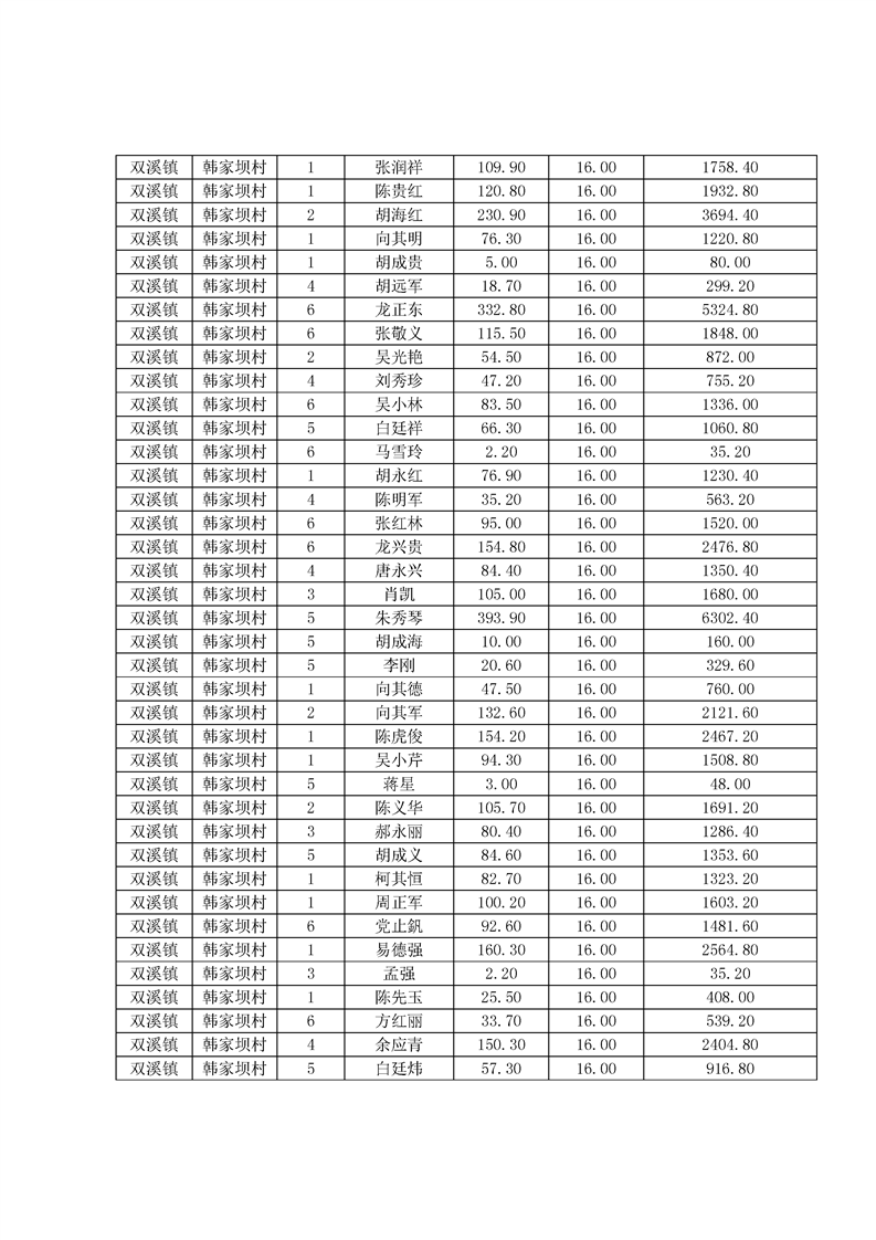
城固县林业局关于2025年度非国有国家级、省级公益林生态效益补偿资金兑现前有关情况的公示
城固县林业局关于2025年度非国有国家级、省级公益林生态效益补偿资金兑现前有关情况的公示
时间:2025-09-22 17:03:24
来源:
县林业局
访问量:
扫一扫:分享至微信
X
时间:2025-09-22 17:03:24
来源:
县林业局
相关稿件
扫一扫在手机打开当前页
微信
微信
政务新媒
体矩阵
返回首页
返回顶部
关闭